友情支持
如果您觉得这个笔记对您有所帮助,看在D瓜哥码这么多字的辛苦上,请友情支持一下,D瓜哥感激不尽,😜
|
|
有些打赏的朋友希望可以加个好友,欢迎关注D 瓜哥的微信公众号,这样就可以通过公众号的回复直接给我发信息。

公众号的微信号是: jikerizhi。因为众所周知的原因,有时图片加载不出来。 如果图片加载不出来可以直接通过搜索微信号来查找我的公众号。 |
104. 二叉树的最大深度
给定一个二叉树 root ,返回其最大深度。
二叉树的 最大深度 是指从根节点到最远叶子节点的最长路径上的节点数。
示例 1:
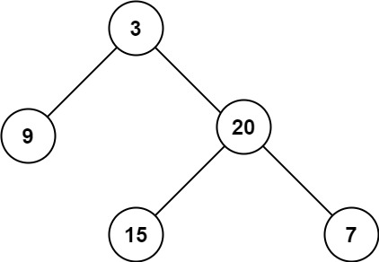
输入:root = [3,9,20,null,null,15,7] 输出:3
示例 2:
输入:root = [1,null,2] 输出:2
提示:
-
树中节点的数量在
[0, 104]区间内。 -
-100 <= Node.val <= 100
思路分析
后根遍历,当然也可以使用BFS遍历。
-
一刷
-
二刷
-
三刷
-
四刷
1
2
3
4
5
6
7
8
9
10
11
12
13
14
15
16
17
18
19
20
21
22
23
/**
* Runtime: 1 ms, faster than 14.28% of Java online submissions for Maximum Depth of Binary Tree.
*
* Memory Usage: 40.7 MB, less than 5.38% of Java online submissions for Maximum Depth of Binary Tree.
*
* @author D瓜哥 · https://www.diguage.com
* @since 2020-01-24 22:17
*/
public int maxDepth(TreeNode root) {
if (Objects.isNull(root)) {
return 0;
}
int left = 0;
if (Objects.nonNull(root.left)) {
left = maxDepth(root.left);
}
int right = 0;
if (Objects.nonNull(root.right)) {
right = maxDepth(root.right);
}
return Math.max(left, right) + 1;
}
1
2
3
4
5
6
7
8
9
10
11
12
13
14
15
16
/**
* 后根遍历既可以访问父节点,又可以从返回值中获取想要的信息,
* 比如深度,子节点等等。
*
* @author D瓜哥 · https://www.diguage.com
* @since 2024-06-30 22:09:09
*/
public int maxDepth(TreeNode root) {
if (root == null) {
return 0;
}
int left = maxDepth(root.left);
int right = maxDepth(root.right);
return Math.max(left, right) + 1;
}
1
2
3
4
5
6
7
8
9
10
11
/**
* @author D瓜哥 · https://www.diguage.com
* @since 2024-09-20 23:45:16
*/
public int maxDepth(TreeNode root) {
if (root == null) {
return 0;
}
return Math.max(maxDepth(root.left), maxDepth(root.right)) + 1;
}
1
2
3
4
5
6
7
8
9
10
11
12
/**
* @author D瓜哥 · https://www.diguage.com
* @since 2025-11-12 21:49:21
*/
public int maxDepth(TreeNode root) {
if (null == root) {
return 0;
}
int left = maxDepth(root.left);
int right = maxDepth(root.right);
return Math.max(left, right) + 1;
}
思考题:尝试使用迭代方式来解决一下。

