友情支持
如果您觉得这个笔记对您有所帮助,看在D瓜哥码这么多字的辛苦上,请友情支持一下,D瓜哥感激不尽,😜
有些打赏的朋友希望可以加个好友,欢迎关注D 瓜哥的微信公众号,这样就可以通过公众号的回复直接给我发信息。
公众号的微信号是: jikerizhi 。因为众所周知的原因,有时图片加载不出来。 如果图片加载不出来可以直接通过搜索微信号来查找我的公众号。 |
543. 二叉树的直径
给你一棵二叉树的根节点,返回该树的 直径 。
二叉树的 直径 是指树中任意两个节点之间最长路径的 长度。这条路径可能经过也可能不经过根节点 root
。
两节点之间路径的 长度 由它们之间边数表示。
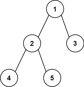
示例 1:

输入:root = [1,2,3,4,5] 输出:3 解释:3 ,取路径 [4,2,1,3] 或 [5,2,1,3] 的长度。
示例 2:
输入:root = [1,2] 输出:1
提示:
-
树中节点数目在范围
[1, 104]
内 -
-100 <= Node.val <= 100
思路分析
这道题就是一个深度优先搜索。不同之处在于,要在遍历过程中,把直径的最大值保存下来。同时,还要返回子树中最长的路径。
当节点为 Null
时,不返回 0
而返回其他值,也许含义更通顺。
这道题求解的是“路径长度”,不是节点数量。理解这一点就能理解为什么在 Null 节点返回 -1 ,到上一层节点(也就是叶子节点)再 +1 ,叶子节点最终返回 0 。
|
-
一刷
-
二刷
1
2
3
4
5
6
7
8
9
10
11
12
13
14
15
16
17
18
19
20
21
22
23
24
/**
* Runtime: 0 ms, faster than 100.00% of Java online submissions for Diameter of Binary Tree.
* Memory Usage: 39 MB, less than 19.48% of Java online submissions for Diameter of Binary Tree.
*
* @author D瓜哥 · https://www.diguage.com
* @since 2020-01-29 23:31
*/
private int result;
public int diameterOfBinaryTree(TreeNode root) {
result = 1;
dfs(root);
return result - 1;
}
private int dfs(TreeNode root) {
if (Objects.isNull(root)) {
return 0;
}
int left = dfs(root.left);
int right = dfs(root.right);
result = Math.max(result, left + right + 1);
return Math.max(left, right) + 1;
}
1
2
3
4
5
6
7
8
9
10
11
12
13
14
15
16
17
18
19
20
/**
* @author D瓜哥 · https://www.diguage.com
* @since 2025-10-12 22:06:10
*/
private int result = 0;
public int diameterOfBinaryTree(TreeNode root) {
dfs(root);
return result;
}
private int dfs(TreeNode root) {
if (root == null) {
return -1; // 对于叶子来说,链长就是 -1+1=0
}
int left = dfs(root.left) + 1; // 左子树最大链长+1
int right = dfs(root.right) + 1; // 右子树最大链长+1
result = Math.max(result, left + right); // 两条链拼成路径
return Math.max(left, right); // 当前子树最大链长
}