友情支持
如果您觉得这个笔记对您有所帮助,看在D瓜哥码这么多字的辛苦上,请友情支持一下,D瓜哥感激不尽,😜
|
|
有些打赏的朋友希望可以加个好友,欢迎关注D 瓜哥的微信公众号,这样就可以通过公众号的回复直接给我发信息。

公众号的微信号是: jikerizhi。因为众所周知的原因,有时图片加载不出来。 如果图片加载不出来可以直接通过搜索微信号来查找我的公众号。 |
508. 出现次数最多的子树元素和
给你一个二叉树的根结点 root ,请返回出现次数最多的子树元素和。如果有多个元素出现的次数相同,返回所有出现次数最多的子树元素和(不限顺序)。
一个结点的 「子树元素和」 定义为以该结点为根的二叉树上所有结点的元素之和(包括结点本身)。
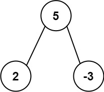
示例 1:
输入: root = [5,2,-3] 输出: [2,-3,4]
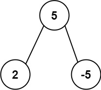
示例 2:
输入: root = [5,2,-5] 输出: [2]
提示:
-
节点数在
[1, 104]范围内 -
-105 <= Node.val <= 105
思路分析
先深度优先遍历,计算每个子树的和以及出现次数。然后再遍历处理后的结果,找出出现次数最多的和。
-
一刷
1
2
3
4
5
6
7
8
9
10
11
12
13
14
15
16
17
18
19
20
21
22
23
24
25
26
27
28
29
30
31
32
33
34
35
36
37
38
39
40
41
42
43
44
45
46
/**
* @author D瓜哥 · https://www.diguage.com
* @since 2026-02-19 08:11:41
*/
public int[] findFrequentTreeSum(TreeNode root) {
Map<Integer, Integer> sumToCount = new HashMap<>();
dfs(root, sumToCount);
PriorityQueue<Map.Entry<Integer, Integer>> queue = new PriorityQueue<>(
(a, b) -> Integer.compare(b.getValue(), a.getValue()));
queue.addAll(sumToCount.entrySet());
// int flag = Integer.MIN_VALUE;
// for (Map.Entry<Integer, Integer> entry : sumToCount.entrySet()) {
// if (entry.getValue() < flag) {
// continue;
// }
// flag = entry.getValue();
// queue.add(entry);
// }
List<Integer> temp = new ArrayList<>();
Integer top = queue.peek().getValue();
while (!queue.isEmpty()) {
Map.Entry<Integer, Integer> entry = queue.poll();
if (entry.getValue() < top) {
break;
}
temp.add(entry.getKey());
}
int[] result = new int[temp.size()];
for (int i = 0; i < temp.size(); i++) {
result[i] = temp.get(i);
}
return result;
}
private int dfs(TreeNode root, Map<Integer, Integer> sumToNode) {
if (Objects.isNull(root)) {
return 0;
}
int left = dfs(root.left, sumToNode);
int right = dfs(root.right, sumToNode);
int sum = root.val + left + right;
Integer cnt = sumToNode.getOrDefault(sum, 0);
sumToNode.put(sum, cnt + 1);
return sum;
}

