友情支持
如果您觉得这个笔记对您有所帮助,看在D瓜哥码这么多字的辛苦上,请友情支持一下,D瓜哥感激不尽,😜
|
|
有些打赏的朋友希望可以加个好友,欢迎关注D 瓜哥的微信公众号,这样就可以通过公众号的回复直接给我发信息。

公众号的微信号是: jikerizhi。因为众所周知的原因,有时图片加载不出来。 如果图片加载不出来可以直接通过搜索微信号来查找我的公众号。 |
563. 二叉树的坡度
给你一个二叉树的根节点 root ,计算并返回 整个树 的坡度 。
一个树的 节点的坡度 定义即为,该节点左子树的节点之和和右子树节点之和的 差的绝对值 。如果没有左子树的话,左子树的节点之和为 0;没有右子树的话也是一样。空结点的坡度是 0 。
整个树 的坡度就是其所有节点的坡度之和。
示例 1:
输入:root = [1,2,3] 输出:1 解释: 节点 2 的坡度:|0-0| = 0(没有子节点) 节点 3 的坡度:|0-0| = 0(没有子节点) 节点 1 的坡度:|2-3| = 1(左子树就是左子节点,所以和是 2 ;右子树就是右子节点,所以和是 3 ) 坡度总和:0 + 0 + 1 = 1
示例 2:
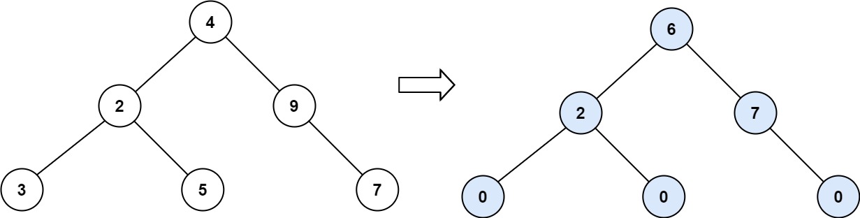
输入:root = [4,2,9,3,5,null,7] 输出:15 解释: 节点 3 的坡度:|0-0| = 0(没有子节点) 节点 5 的坡度:|0-0| = 0(没有子节点) 节点 7 的坡度:|0-0| = 0(没有子节点) 节点 2 的坡度:|3-5| = 2(左子树就是左子节点,所以和是 3 ;右子树就是右子节点,所以和是 5 ) 节点 9 的坡度:|0-7| = 7(没有左子树,所以和是 0 ;右子树正好是右子节点,所以和是 7 ) 节点 4 的坡度:|(352)-(9+7)| = |10-16| = 6(左子树值为 3、5 和 2 ,和是 10 ;右子树值为 9 和 7 ,和是 16 ) 坡度总和:0 + 0 + 0 + 2 + 7 + 6 = 15
示例 3:
输入:root = [21,7,14,1,1,2,2,3,3] 输出:9
提示:
-
树中节点数目的范围在
[0, 104]内 -
-1000 <= Node.val <= 1000
思路分析
-
一刷
1
2
3
4
5
6
7
8
9
10
11
12
13
14
15
16
17
18
19
20
21
22
23
24
25
26
27
28
29
30
31
32
33
34
35
/**
* @author D瓜哥 · https://www.diguage.com
* @since 2026-03-16 21:41:43
*/
public int findTilt(TreeNode root) {
return dfs(root).tiltSum;
}
private Tilt dfs(TreeNode root) {
if (Objects.isNull(root)) {
return new Tilt();
}
Tilt left = dfs(root.left);
Tilt right = dfs(root.right);
int tilt = Math.abs(left.valSum - right.valSum);
int tiltSum = left.tiltSum + right.tiltSum + tilt;
int valSum = left.valSum + right.valSum + root.val;
return new Tilt(tiltSum, valSum, tilt);
}
private static class Tilt {
int tiltSum;
int valSum;
int tilt;
public Tilt() {
}
public Tilt(int tiltSum, int valSum, int tilt) {
this.tiltSum = tiltSum;
this.valSum = valSum;
this.tilt = tilt;
}
}

