友情支持
如果您觉得这个笔记对您有所帮助,看在D瓜哥码这么多字的辛苦上,请友情支持一下,D瓜哥感激不尽,😜
|
|
有些打赏的朋友希望可以加个好友,欢迎关注D 瓜哥的微信公众号,这样就可以通过公众号的回复直接给我发信息。

公众号的微信号是: jikerizhi。因为众所周知的原因,有时图片加载不出来。 如果图片加载不出来可以直接通过搜索微信号来查找我的公众号。 |
653. 两数之和 IV - 输入二叉搜索树
给定一个二叉搜索树 root 和一个目标结果 k,如果二叉搜索树中存在两个元素且它们的和等于给定的目标结果,则返回 true。
示例 1:
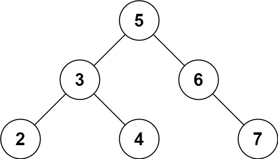
输入: root = [5,3,6,2,4,null,7], k = 9 输出: true
示例 2:
输入: root = [5,3,6,2,4,null,7], k = 28 输出: false
提示:
-
二叉树的节点个数的范围是
[1, 104]. -
-104 <= Node.val <= 104 -
题目数据保证,输入的
root是一棵 有效 的二叉搜索树 -
-105 <= k <= 105
思路分析
深度优先遍历+哈希。搜索二叉树,感觉用处不大。
-
一刷
1
2
3
4
5
6
7
8
9
10
11
12
13
14
15
16
17
18
/**
* @author D瓜哥 · https://www.diguage.com
* @since 2026-04-21 20:30:18
*/
public boolean findTarget(TreeNode root, int k) {
return dfs(root, k, new HashSet<>());
}
private boolean dfs(TreeNode root, int k, Set<Object> existed) {
if (Objects.isNull(root)) {
return false;
}
if (existed.contains(k - root.val)) {
return true;
}
existed.add(root.val);
return dfs(root.left, k, existed) || dfs(root.right, k, existed);
}

